在外加磁場之下,磁性物質的磁偶極 ( magnetic dipole) 方向會與外加磁場方向一致。如果外加磁場是交流磁場 ( AC magnetic field) 且交流頻率不高 (一般低於微波頻率),磁性物質的磁偶極會隨著交流磁場做週期性的震盪變化,此即交流磁化率 ( χac ) 的物理源由。在此外加磁場條件下,磁性物質的震盪頻率會與外加交流磁場相同,但其每一瞬間的磁偶極方向不一定與外加交流磁場相同,兩者之間有相位差 ( phase difference )。因此磁性物質的交流磁化率χac可以用其震幅χo 與相位差θ表示 : χac = coeiq 。

圖一. 在一定頻率下 (1/T),外加交流磁場 (H) 與磁性物質磁偶極 (M) 的時間差 (Δt) 及震幅差 (Vpp)。
除了以震幅 χo 與相位差 θ 表示交流磁訊號 χac 外,也可以用 χocosθ 與 iχosinθ 表示 : χac = coeiq = χocosθ + iχosinθ。 χocosθ 為交流磁化率實部 (real part of χac, Re[Xac]),也可以用 χr 表示。 χosinθ 為交流磁化率虛部 (imaginary part of χac, Im[Xac]),亦可以用 χi 表示。故原本的公式也可以轉換成 :
χac = χr + iχi。
( Im[Xac] 代表材料吸收外加磁場的效率,Im[Xac] 越大,材料越能吸收磁能)。

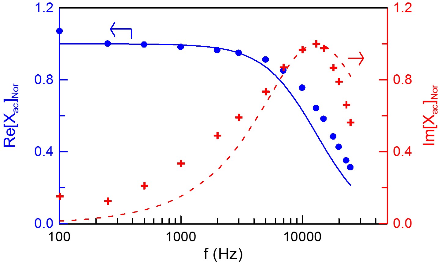
圖二. 磁性物質的交流磁化率,隨著外加磁場的頻率而變化
交流磁化率 (χac) 與直流磁化率 (χdc) 之間的關係,可以用下列公式表示:

因此交流磁化率 (χac) 可以很簡單地藉由振動樣品式磁性分析儀與超導量子干涉元件式磁性分析儀所得到的直流磁化率 (χdc) 來推導。
交流磁化率 (χac) 除了用於磁性物質的研究外,更可以廣泛地應用於磁性物質的定量,像是磁流體、鋰電池的物質,和其他磁性物質、粉末或薄膜。在特定條件下,Re[Xac] 與磁化物質的濃度或量的比值為一定值,其標準曲線可以藉由測量交流磁化率的值而得出,如下圖所示 :

圖三. Re[cac] 與磷酸鐵鋰 (LiFePO4) 中磁化物質含量的關係線。
圖三顯示出在一定頻率下,Re[Xac] 與磷酸鐵鋰中磁化物質的濃度程正比。藉此關係可以清楚得出磁化物質的含量百分比是高於或低於1%。
相關產品 : XacQuan, XacCryoProbe





